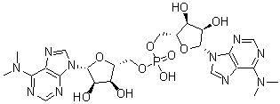
基本信息
| 产品名称 |
N,N-二甲基腺苷酰-(3'-5')-N,N-二甲基-腺苷 |
| 英文名 |
N,N-Dimethyladenylyl-(3'-5')-N,N-dimethyl-Adenosine |
| 别名 |
Bis[[(2R,3S,4R,5R)-5-(6-Dimethylaminopurin-9-Yl)-3,4-Dihydroxy-Tetrahydrofuran-2-Yl]Methyl] Hydrogen Phosphate; Bis[[(2R,3S,4R,5R)-5-(6-Dimethylamino-9-Purinyl)-3,4-Dihydroxy-2-Tetrahydrofuranyl]Methyl] Hydrogen Phosphate; Bis[[(2R,3S,4R,5R)-5-(6-Dimethylaminopurin-9-Yl)-3,4-Dihydroxy-Oxolan-2-Yl]Methyl] Hydrogen Phosphate |
|
| 分子结构 |
 |
| 分子式 |
C24H33N10O10P |
| 分子量 |
652.56 |
| CAS 登录号 |
2273-75-8 |
| 分子行输入简码 SMILES |
[C@H]1(O[C@@H]([C@@H](O)[C@H]1O)CO[P](OC[C@H]4O[C@@H]([N]2C3=C(N=C2)C(=NC=N3)N(C)C)[C@H](O)[C@@H]4O)(=O)O)[N]5C6=C(N=C5)C(=NC=N6)N(C)C |
| 国际化学标识码 InChI |
1S/C24H33N10O10P/c1-31(2)19-13-21(27-7-25-19)33(9-29-13)23-17(37)15(35)11(43-23)5-41-45(39,40)42-6-12-16(36)18(38)24(44-12)34-10-30-14-20(32(3)4)26-8-28-22(14)34/h7-12,15-18,23-24,35-38H,5-6H2,1-4H3,(H,39,40)/t11-,12-,15-,16-,17-,18-,23-,24-/m1/s1 |
| 国际化学标识检索码 InChIKey |
OTEVSHVKJXUMGI-INLCHHDGSA-N |
|