全球化学品在线数据库

阿拉伯五糖
[CAS 190852-25-6]

供应商目录
卡博森斯化学科技 (苏州) 有限公司 中国
www.carbosynth.cn
+86 (512) 6260-5585
+86 (512) 6260-5576
sales@carbosynth.com
QQ Chat
化学品生产商 (2006年起)
chemBlink 标准供应商 (2016年起)

基本信息
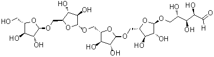
产品名称阿拉伯五糖
英文名Arabinopentaose
别名O-alpha-L-Arabinofuranosyl-(1→5)-O-alpha-L-arabinofuranosyl-(1→5)-O-alpha-L-arabinofuranosyl-(1→5)-O-alpha-L-arabinofuranosyl-(1→5)-L-arabinose
分子结构阿拉伯五糖分子结构 (CAS 190852-25-6)
分子式C25H42O21
分子量678.59
CAS 登录号190852-25-6
物理化学性质
溶解度略溶 (21 g/L) (25 °C), 计算值*
密度1.75±0.1 g/cm3 (20 °C 760 Torr), 计算值*
*使用计算机软件 Advanced Chemistry Development (ACD/Labs) Software V11.02 (©1994-2016 ACD/Labs)
市场分析报告
相关产品
2-(L-阿拉伯糖-四羟基丁基...  阿拉伯糖酸  D-阿拉伯糖酸  D-阿拉伯糖酸 gamma-内...  阿拉伯糖酸-5-磷酸酯  L-阿拉伯糖酸钙  L(-)-阿拉伯糖酸-gamm...  D-阿拉伯糖酸钾  阿拉伯糖酸甲酯  L-阿拉伯糖腙  Aladapcin  阿拉氟韦  阿来必利  阿来组单抗  阿拉磷  阿拉洛芬  阿拉莫林  阿拉莫林(富马酸盐)  阿拉莫林盐酸盐  Alanopine