全球化学品在线数据库

罗汉果皂苷 III-A1 化学品安全技术说明书 (CAS 88901-42-2)

本页面提供 罗汉果皂苷 III-A1 (CAS 88901-42-2) 的化学品安全技术说明书 (SDS),包括危险性、急救措施、储存与操作要求等信息。用户可免费下载 SDS 文件用于实验室或工业参考。

产品概述

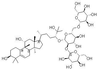
结构式 CAS# 88901-42-2, 罗汉果皂苷 III-A1
产品名称 罗汉果皂苷 III-A1
CAS 登录号 88901-42-2
分子式 C48H82O19
分子量 963.15
罗汉果皂苷 III-A1的详细资料
 
资料来源 SDS 样本
Ambeed
file.ambeed.com/static/upload/prosds/am/1000/SDS-A999913.pdf
浏览或下载

免责声明

本页所列之化学品安全技术说明书样本系 chemBlink 公司搜集的互联网公开信息,仅用于指导化学品安全技术说明书的编辑与制作。chemBlink 竭诚提供可靠信息,然而不承诺其完备与准确。 阅读全文...



常见问题 (FAQ)
什么是 SDS?   如何下载 SDS?   SDS 是否免费?   SDS 和 MSDS 有什么区别?



相关化学品安全技术说明书
(S)-1-叔丁氧羰...   心房利尿钠因子...   巴佛洛霉素 A1   世田霉素   罗汉果糖苷 V   罗汉果皂苷 II-A...   光溜海绵素 C   N-叔丁基-3-(2...   4-(1,3-二氧代...   2-(4-甲氧基苄亚...