全球化学品在线数据库

三[2-(3-甲基吡啶-2-基)(4-苯基)苯]合铱 化学品安全技术说明书 (CAS 861144-71-0)

本页面提供 三[2-(3-甲基吡啶-2-基)(4-苯基)苯]合铱 (CAS 861144-71-0) 的化学品安全技术说明书 (SDS),包括危险性、急救措施、储存与操作要求等信息。用户可免费下载 SDS 文件用于实验室或工业参考。

产品概述

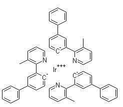
结构式 CAS# 861144-71-0, 三[2-(3-甲基吡啶-2-基)(4-苯基)苯]合铱
产品名称 三[2-(3-甲基吡啶-2-基)(4-苯基)苯]合铱
CAS 登录号 861144-71-0
分子式 C54H42IrN3
分子量 925.15
三[2-(3-甲基吡啶-2-基)(4-苯基)苯]合铱的详细资料
 
资料来源 SDS 样本
Ambeed
file.ambeed.com/static/upload/prosds/am/516/SDS-A515431.pdf
浏览或下载

免责声明

本页所列之化学品安全技术说明书样本系 chemBlink 公司搜集的互联网公开信息,仅用于指导化学品安全技术说明书的编辑与制作。chemBlink 竭诚提供可靠信息,然而不承诺其完备与准确。 阅读全文...



常见问题 (FAQ)
什么是 SDS?   如何下载 SDS?   SDS 是否免费?   SDS 和 MSDS 有什么区别?



相关化学品安全技术说明书
1-溴-2-甲氧基-...   5-溴-4-甲氧基-...   4-[(E)-(3-...   2-溴-6-硝基苯甲...   1-芘基甲基甲基丙烯...   乙基3-(4-溴苯基...   1-(4-甲氧基苄基...   (R)-alpha-...   (R)-2-氨基-3...   (R)-2-氨基-3...