全球化学品在线数据库

2-[7-[3-(5-羧基戊基)-1,3-二氢-1,1-二甲基-6,8-二磺基-2H-苯并[e]吲哚-2-亚基]-1,3,5-庚三烯-1-基]-3-乙基-1,1-二甲基-6,8-二磺基-1H-苯并[e]吲哚鎓内盐 化学品安全技术说明书 (CAS 847180-48-7)

本页面提供 2-[7-[3-(5-羧基戊基)-1,3-二氢-1,1-二甲基-6,8-二磺基-2H-苯并[e]吲哚-2-亚基]-1,3,5-庚三烯-1-基]-3-乙基-1,1-二甲基-6,8-二磺基-1H-苯并[e]吲哚鎓内盐 (CAS 847180-48-7) 的化学品安全技术说明书 (SDS),包括危险性、急救措施、储存与操作要求等信息。用户可免费下载 SDS 文件用于实验室或工业参考。

产品概述

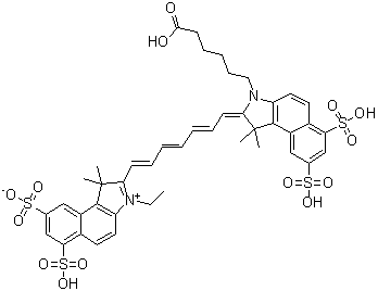
结构式 CAS# 847180-48-7, 2-[7-[3-(5-羧基戊基)-1,3-二氢-1,1-二甲基-6,8-二磺基-2H-苯并[e]吲哚-2-亚基]-1,3,5-庚三烯-1-基]-3-乙基-1,1-二甲基-6,8-二磺基-1H-苯并[e]吲哚鎓内盐
产品名称 2-[7-[3-(5-羧基戊基)-1,3-二氢-1,1-二甲基-6,8-二磺基-2H-苯并[e]吲哚-2-亚基]-1,3,5-庚三烯-1-基]-3-乙基-1,1-二甲基-6,8-二磺基-1H-苯并[e]吲哚鎓内盐
CAS 登录号 847180-48-7
分子式 C43H46N2O14S4
分子量 943.09
2-[7-[3-(5-羧基戊基)-1,3-二氢-1,1-二甲基-6,8-二磺基-2H-苯并[e]吲哚-2-亚基]-1,3,5-庚三烯-1-基]-3-乙基-1,1-二甲基-6,8-二磺基-1H-苯并[e]吲哚鎓内盐的详细资料
 
资料来源 SDS 样本
Ambeed
file.ambeed.com/static/upload/prosds/am/420/SDS-A419444.pdf
浏览或下载

免责声明

本页所列之化学品安全技术说明书样本系 chemBlink 公司搜集的互联网公开信息,仅用于指导化学品安全技术说明书的编辑与制作。chemBlink 竭诚提供可靠信息,然而不承诺其完备与准确。 阅读全文...



常见问题 (FAQ)
什么是 SDS?   如何下载 SDS?   SDS 是否免费?   SDS 和 MSDS 有什么区别?



相关化学品安全技术说明书
N-乙烯基氨基甲酸苄...   N-叔丁氧羰基-2-...   2-氯-1-氟-4-...   2-(5-甲基-1,...   1-(3-氨基-4-...   1,2-环己二甲酸二...   吡啶-2,4-二醇   1,2-苯二甲酸...   4-氟吡啶-2-甲腈   5-丁基-2-氯嘧啶