全球化学品在线数据库

天冬宁 B 化学品安全技术说明书 (CAS 84633-34-1)

本页面提供 天冬宁 B (CAS 84633-34-1) 的化学品安全技术说明书 (SDS),包括危险性、急救措施、储存与操作要求等信息。用户可免费下载 SDS 文件用于实验室或工业参考。

产品概述

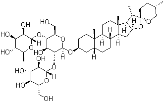
结构式 CAS# 84633-34-1, 天冬宁 B
产品名称 天冬宁 B
CAS 登录号 84633-34-1
分子式 C45H74O17
分子量 887.06
天冬宁 B的详细资料
 
资料来源 SDS 样本
Sigma-Aldrich
www.sigmaaldrich.com/catalog/Lookup.do?N5=All&N3=mode+matchpartialmax&N1=S_ID&ST=RS&N25=0&F=PR&D7=0&N4=84633-34-1
浏览或下载

免责声明

本页所列之化学品安全技术说明书样本系 chemBlink 公司搜集的互联网公开信息,仅用于指导化学品安全技术说明书的编辑与制作。chemBlink 竭诚提供可靠信息,然而不承诺其完备与准确。 阅读全文...



常见问题 (FAQ)
什么是 SDS?   如何下载 SDS?   SDS 是否免费?   SDS 和 MSDS 有什么区别?



相关化学品安全技术说明书
伊曲康唑   芬地柞酸   邻苯二甲酸二苯基酯   alpha-乙基-4...   颜料红 254   甲基 2,3,4-三...   乙酰基缬草烯酸   7-羟基吲哚-2-甲...   1,2-苯二羧酸...   丁酸 1-甲基-2-...