全球化学品在线数据库

(2R)-1-(1H-咪唑-4-基)-2-丙胺二盐酸盐 化学品安全技术说明书 (CAS 75614-89-0)

本页面提供 (2R)-1-(1H-咪唑-4-基)-2-丙胺二盐酸盐 (CAS 75614-89-0) 的化学品安全技术说明书 (SDS),包括危险性、急救措施、储存与操作要求等信息。用户可免费下载 SDS 文件用于实验室或工业参考。

产品概述

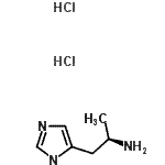
结构式 CAS# 75614-89-0, (2R)-1-(1H-咪唑-4-基)-2-丙胺二盐酸盐
产品名称 (2R)-1-(1H-咪唑-4-基)-2-丙胺二盐酸盐
CAS 登录号 75614-89-0
分子式 C6H13Cl2N3
分子量 198.09
(2R)-1-(1H-咪唑-4-基)-2-丙胺二盐酸盐的详细资料
 
资料来源 SDS 样本
Sigma-Aldrich
www.sigmaaldrich.com/catalog/Lookup.do?N5=All&N3=mode+matchpartialmax&N1=S_ID&ST=RS&N25=0&F=PR&D7=0&N4=75614-89-0
浏览或下载
Cayman
www.caymanchem.com/msdss/25601m.pdf
浏览或下载
Alfa-Aesar
www.alfa.com/en/content/msds/USA/J61636.pdf
浏览或下载

免责声明

本页所列之化学品安全技术说明书样本系 chemBlink 公司搜集的互联网公开信息,仅用于指导化学品安全技术说明书的编辑与制作。chemBlink 竭诚提供可靠信息,然而不承诺其完备与准确。 阅读全文...



常见问题 (FAQ)
什么是 SDS?   如何下载 SDS?   SDS 是否免费?   SDS 和 MSDS 有什么区别?



相关化学品安全技术说明书
2-(1-苯并呋喃-...   1,1,1,3,4,...   全氟(2-甲基-3-...   2-(4-甲基苯基)...   D-组氨醇二盐酸盐   二溴二氟甲烷   三活菌素   三氟甲烷磺酸丁酯   2,3-二氯-6-硝...   苯磺酸新戊酯