| 产品概述 | |
| |
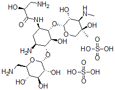
| 产品名称 | 异帕米星硫酸盐 |
| CAS 登录号 | 68000-78-2 |
| 分子式 | C22H47N5O20S2 |
| 分子量 | 765.75 |
| 异帕米星硫酸盐的详细资料 | |
| 资料来源 | SDS 样本 |
| Biosynth www.biosynth.com/downloadPDF/MSDS_I-7820_1000_EN.pdf |
浏览或下载 |
|
免责声明 本页所列之化学品安全技术说明书样本系 chemBlink 公司搜集的互联网公开信息,仅用于指导化学品安全技术说明书的编辑与制作。chemBlink 竭诚提供可靠信息,然而不承诺其完备与准确。 阅读全文... |
|