全球化学品在线数据库

洛度沙胺氨丁三醇 化学品安全技术说明书 (CAS 63610-09-3)

本页面提供 洛度沙胺氨丁三醇 (CAS 63610-09-3) 的化学品安全技术说明书 (SDS),包括危险性、急救措施、储存与操作要求等信息。用户可免费下载 SDS 文件用于实验室或工业参考。

产品概述

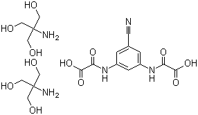
结构式 CAS# 63610-09-3, 洛度沙胺氨丁三醇
产品名称 洛度沙胺氨丁三醇
CAS 登录号 63610-09-3
分子式 C11H6ClN3O6.2(C4H11NO3)
分子量 553.14
洛度沙胺氨丁三醇的详细资料
 
资料来源 SDS 样本
Matrix
www.matrixscientific.com/media/msds/14/33/36/MxMSDS_143336.pdf
浏览或下载

免责声明

本页所列之化学品安全技术说明书样本系 chemBlink 公司搜集的互联网公开信息,仅用于指导化学品安全技术说明书的编辑与制作。chemBlink 竭诚提供可靠信息,然而不承诺其完备与准确。 阅读全文...



常见问题 (FAQ)
什么是 SDS?   如何下载 SDS?   SDS 是否免费?   SDS 和 MSDS 有什么区别?



相关化学品安全技术说明书
2-溴-5-甲氧基苯...   4-(苯氧基甲基)哌...   4-[(4-氯苯氧基...   1,4-苯二甲酸二乙...   吲哚布芬   2-氯-5-硝基苯甲...   2-氯-6-硝基苯甲...   2,5-二氯苯甲醛   尼鲁米特   3-苄基-3-氮杂双...