全球化学品在线数据库

抗氧化剂 TH-412S 化学品安全技术说明书 (CAS 29598-76-3)

本页面提供 抗氧化剂 TH-412S (CAS 29598-76-3) 的化学品安全技术说明书 (SDS),包括危险性、急救措施、储存与操作要求等信息。用户可免费下载 SDS 文件用于实验室或工业参考。

产品概述

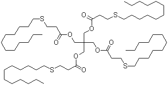
结构式 CAS# 29598-76-3, 抗氧化剂 TH-412S; 季戊四醇四(3-月桂基硫代丙酸酯)
产品名称 抗氧化剂 TH-412S
CAS 登录号 29598-76-3
分子式 C65H124O8S4
分子量 1161.95
抗氧化剂 TH-412S的详细资料
 
资料来源 SDS 样本
Accu-Standard
www.accustandard.com/docshare/msds/SDS_PLAS-AX-030N.pdf
浏览或下载

免责声明

本页所列之化学品安全技术说明书样本系 chemBlink 公司搜集的互联网公开信息,仅用于指导化学品安全技术说明书的编辑与制作。chemBlink 竭诚提供可靠信息,然而不承诺其完备与准确。 阅读全文...



常见问题 (FAQ)
什么是 SDS?   如何下载 SDS?   SDS 是否免费?   SDS 和 MSDS 有什么区别?



相关化学品安全技术说明书
1-氯-2,3-吲哚...   2-丙烯酸异辛基酯   1-(4,6-二氨基...   N-[(4-乙酰氨基...   环氧柏木烷   2-苯基戊二酸酐   N-苄基羟胺盐酸盐   2-羟基-4-(甲氧...   N1-(5-硝基-2...   N-(二苯基膦基)-...