全球化学品在线数据库

冈田软海绵酸钠盐 化学品安全技术说明书 (CAS 209266-80-8)

本页面提供 冈田软海绵酸钠盐 (CAS 209266-80-8) 的化学品安全技术说明书 (SDS),包括危险性、急救措施、储存与操作要求等信息。用户可免费下载 SDS 文件用于实验室或工业参考。

产品概述

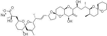
结构式 CAS# 209266-80-8, 冈田软海绵酸钠盐
产品名称 冈田软海绵酸钠盐
CAS 登录号 209266-80-8
分子式 C44H67O13.Na
分子量 826.98
冈田软海绵酸钠盐的详细资料
 
资料来源 SDS 样本
Alfa-Aesar
www.alfa.com/en/content/msds/USA/J62463.pdf
浏览或下载
Sigma-Aldrich
www.sigmaaldrich.com/catalog/Lookup.do?N5=All&N3=mode+matchpartialmax&N1=S_ID&ST=RS&N25=0&F=PR&D7=0&N4=209266-80-8
浏览或下载
Acros-Organics
www.acros.com/DesktopModules/Acros_Search_Results/Acros_Search_Results.aspx?search_type=CAS&SearchString=209266-80-8
浏览或下载

免责声明

本页所列之化学品安全技术说明书样本系 chemBlink 公司搜集的互联网公开信息,仅用于指导化学品安全技术说明书的编辑与制作。chemBlink 竭诚提供可靠信息,然而不承诺其完备与准确。 阅读全文...



常见问题 (FAQ)
什么是 SDS?   如何下载 SDS?   SDS 是否免费?   SDS 和 MSDS 有什么区别?



相关化学品安全技术说明书
五氯苯甲腈   2,6-二(二甲基氨...   2-溴-N,N-二甲...   2-氯-N,N-二甲...   (2R)-3-[(4...   7-(溴甲基)-1-...   3-甲氧基-2-羟基...   2-溴甲基-4-氯噻...   1-氯-6-甲基异喹...   2-碘吡啶-3-胺