全球化学品在线数据库

替诺福韦酯 化学品安全技术说明书 (CAS 201341-05-1)

本页面提供 替诺福韦酯 (CAS 201341-05-1) 的化学品安全技术说明书 (SDS),包括危险性、急救措施、储存与操作要求等信息。用户可免费下载 SDS 文件用于实验室或工业参考。

产品概述

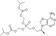
结构式 CAS# 201341-05-1, 替诺福韦酯; (R)-9-(2-磷酸甲氧基丙基)腺嘌呤二(异丙氧羰基氧甲基)酯
产品名称 替诺福韦酯
CAS 登录号 201341-05-1
分子式 C19H30N5O10P
分子量 519.44
替诺福韦酯的详细资料
 
资料来源 SDS 样本
Matrix
www.matrixscientific.com/media/msds/07/60/70/MxMSDS_076070.pdf
浏览或下载

免责声明

本页所列之化学品安全技术说明书样本系 chemBlink 公司搜集的互联网公开信息,仅用于指导化学品安全技术说明书的编辑与制作。chemBlink 竭诚提供可靠信息,然而不承诺其完备与准确。 阅读全文...



常见问题 (FAQ)
什么是 SDS?   如何下载 SDS?   SDS 是否免费?   SDS 和 MSDS 有什么区别?



相关化学品安全技术说明书
N-[叔丁氧羰基]-...   D-正缬氨酸   2-羰基丁酸钠   1-(3,4-二甲氧...   Fmoc-D-4-甲...   (2S)-2-(乙酰...   N-乙酰基-4-碘-...   O-叔丁基-L-别苏...   (S)-2-氨基己二...   (5alpha,17...