全球化学品在线数据库

八(O-氰基乙基)蔗糖 化学品安全技术说明书 (CAS 18304-13-7)

本页面提供 八(O-氰基乙基)蔗糖 (CAS 18304-13-7) 的化学品安全技术说明书 (SDS),包括危险性、急救措施、储存与操作要求等信息。用户可免费下载 SDS 文件用于实验室或工业参考。

产品概述

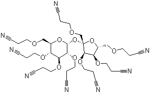
结构式 CAS# 18304-13-7, 八(O-氰基乙基)蔗糖
产品名称 八(O-氰基乙基)蔗糖
CAS 登录号 18304-13-7
分子式 C36H46N8O11
分子量 766.80
八(O-氰基乙基)蔗糖的详细资料
 
资料来源 SDS 样本
Alfa-Aesar
www.alfa.com/en/content/msds/USA/A18122.pdf
浏览或下载

免责声明

本页所列之化学品安全技术说明书样本系 chemBlink 公司搜集的互联网公开信息,仅用于指导化学品安全技术说明书的编辑与制作。chemBlink 竭诚提供可靠信息,然而不承诺其完备与准确。 阅读全文...



常见问题 (FAQ)
什么是 SDS?   如何下载 SDS?   SDS 是否免费?   SDS 和 MSDS 有什么区别?



相关化学品安全技术说明书
[(1S,2R)-3...   乙基(2E)-2-氰...   2-氰基-3-苯基巴...   正十五烷腈   N-对甲苯磺酰基氨基...   3-氨基-6-氯-3...   1,3-丙酮二羧酸二...   1-乙基苯并(cd)...   4-(二甲氧基甲基)...   (2-羟基-2-甲基...