| 产品概述 | |
| |
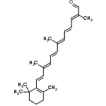
| 产品名称 | (2E,4E,6E,8E,10E,12E)-2,7,11-三甲基-13-(2,6,6-三甲基-1-环己烯-1-基)-2,4,6,8,10,12-十三六烯醛 |
| CAS 登录号 | 1638-05-7 |
| 分子式 | C25H34O |
| 分子量 | 350.54 |
| (2E,4E,6E,8E,10E,12E)-2,7,11-三甲基-13-(2,6,6-三甲基-1-环己烯-1-基)-2,4,6,8,10,12-十三六烯醛的详细资料 | |
| 资料来源 | SDS 样本 |
| Ambeed file.ambeed.com/static/upload/prosds/am/905/SDS-A904944.pdf |
浏览或下载 |
|
免责声明 本页所列之化学品安全技术说明书样本系 chemBlink 公司搜集的互联网公开信息,仅用于指导化学品安全技术说明书的编辑与制作。chemBlink 竭诚提供可靠信息,然而不承诺其完备与准确。 阅读全文... |
|