全球化学品在线数据库

氯霉素硬脂酸酯 化学品安全技术说明书 (CAS 16255-48-4)

本页面提供 氯霉素硬脂酸酯 (CAS 16255-48-4) 的化学品安全技术说明书 (SDS),包括危险性、急救措施、储存与操作要求等信息。用户可免费下载 SDS 文件用于实验室或工业参考。

产品概述

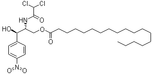
结构式 CAS# 16255-48-4, 氯霉素硬脂酸酯; [(2R,3R)-2-[(2,2-二氯乙酰)氨基]-3-羟基-3-(4-硝基苯基)丙基]硬脂酸酯
产品名称 氯霉素硬脂酸酯
CAS 登录号 16255-48-4
分子式 C29H46Cl2N2O6
分子量 589.59
氯霉素硬脂酸酯的详细资料
 
资料来源 SDS 样本
Matrix
www.matrixscientific.com/media/msds/05/96/79/MxMSDS_059679.pdf
浏览或下载

免责声明

本页所列之化学品安全技术说明书样本系 chemBlink 公司搜集的互联网公开信息,仅用于指导化学品安全技术说明书的编辑与制作。chemBlink 竭诚提供可靠信息,然而不承诺其完备与准确。 阅读全文...



常见问题 (FAQ)
什么是 SDS?   如何下载 SDS?   SDS 是否免费?   SDS 和 MSDS 有什么区别?



相关化学品安全技术说明书
{(1S)-2-[4...   N-甲氧羰基-L-叔...   呋喃并[4,5-b]...   4,6-二氟-1-茚...   O-(二甲氧基磷酰)...   N-Fmoc-N'-...   1-(2-乙氧基-2...   2-[(2-氯-5-...   2-甲基-2-[(丙...   S-Cbz-L-半胱...