| 产品概述 | |
| |
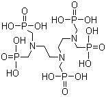
| 产品名称 | 二乙烯三胺五甲叉膦酸 |
| CAS 登录号 | 15827-60-8 |
| 分子式 | C9H28N3O15P5 |
| 分子量 | 573.20 |
| 二乙烯三胺五甲叉膦酸的详细资料 | |
| 资料来源 | SDS 样本 |
| Ambeed file.ambeed.com/static/upload/prosds/am/330/SDS-A329794.pdf |
浏览或下载 |
|
免责声明 本页所列之化学品安全技术说明书样本系 chemBlink 公司搜集的互联网公开信息,仅用于指导化学品安全技术说明书的编辑与制作。chemBlink 竭诚提供可靠信息,然而不承诺其完备与准确。 阅读全文... |
|