全球化学品在线数据库

omega-芋螺毒素 M VIIC 化学品安全技术说明书 (CAS 147794-23-8)

本页面提供 omega-芋螺毒素 M VIIC (CAS 147794-23-8) 的化学品安全技术说明书 (SDS),包括危险性、急救措施、储存与操作要求等信息。用户可免费下载 SDS 文件用于实验室或工业参考。

产品概述

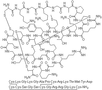
结构式 CAS# 147794-23-8, omega-芋螺毒素 M VIIC
产品名称 omega-芋螺毒素 M VIIC
CAS 登录号 147794-23-8
分子式 C106H178N40O32S7
分子量 2749.25
omega-芋螺毒素 M VIIC的详细资料
 
资料来源 SDS 样本
Sigma-Aldrich
www.sigmaaldrich.com/catalog/Lookup.do?N5=All&N3=mode+matchpartialmax&N1=S_ID&ST=RS&N25=0&F=PR&D7=0&N4=147794-23-8
浏览或下载
Cayman
www.caymanchem.com/msdss/24411m.pdf
浏览或下载

免责声明

本页所列之化学品安全技术说明书样本系 chemBlink 公司搜集的互联网公开信息,仅用于指导化学品安全技术说明书的编辑与制作。chemBlink 竭诚提供可靠信息,然而不承诺其完备与准确。 阅读全文...



常见问题 (FAQ)
什么是 SDS?   如何下载 SDS?   SDS 是否免费?   SDS 和 MSDS 有什么区别?



相关化学品安全技术说明书
N-{[4'-({3...   (S)-2-氨基-6...   2-亚氨基-3-甲基...   2-氨基-5-甲基苯...   (2E)-3-(5-...   3,5-二甲氧基-4...   Santacruza...   甲胺-D2 氘代盐酸...   3-氧代-N-[(3...   甲胺-D5 氘代盐酸...