全球化学品在线数据库

甘草酸 化学品安全技术说明书 (CAS 1405-86-3)

本页面提供 甘草酸 (CAS 1405-86-3) 的化学品安全技术说明书 (SDS),包括危险性、急救措施、储存与操作要求等信息。用户可免费下载 SDS 文件用于实验室或工业参考。

产品概述

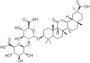
结构式 CAS# 1405-86-3, 甘草酸; 甘草甜素
产品名称 甘草酸
CAS 登录号 1405-86-3
分子式 C42H62O16
分子量 822.94
甘草酸的详细资料
 
资料来源 SDS 样本
Sigma-Aldrich
www.sigmaaldrich.com/catalog/Lookup.do?N5=All&N3=mode+matchpartialmax&N1=S_ID&ST=RS&N25=0&F=PR&D7=0&N4=1405-86-3
浏览或下载
TCI
www.spectrumchemical.com/MSDS/TCI-G0150.pdf
浏览或下载
Acros-Organics
www.acros.com/DesktopModules/Acros_Search_Results/Acros_Search_Results.aspx?search_type=CAS&SearchString=1405-86-3
浏览或下载

免责声明

本页所列之化学品安全技术说明书样本系 chemBlink 公司搜集的互联网公开信息,仅用于指导化学品安全技术说明书的编辑与制作。chemBlink 竭诚提供可靠信息,然而不承诺其完备与准确。 阅读全文...



常见问题 (FAQ)
什么是 SDS?   如何下载 SDS?   SDS 是否免费?   SDS 和 MSDS 有什么区别?



相关化学品安全技术说明书
N-(3-甲氧基苯基...   N2   敌克松   羰基溴二(三苯基膦)...   亲和素   杆菌肽   杆菌肽锌   钒酸铋   短杆菌肽   6-甲氧基-1H-吲...