全球化学品在线数据库

2,8,14,20-四十一烷基五环[19.3.1.1<sup>3,7</sup>.1<sup>9,13</sup>.1<sup>15,19</sup>]二十八碳-1(25),3(28),4,6,9(27),10,12,15(26),16,18,21,23-十二烯-4,6,10,12,16,18,22,24-八醇 化学品安全技术说明书 (CAS 112247-07-1)

本页面提供 2,8,14,20-四十一烷基五环[19.3.1.1<sup>3,7</sup>.1<sup>9,13</sup>.1<sup>15,19</sup>]二十八碳-1(25),3(28),4,6,9(27),10,12,15(26),16,18,21,23-十二烯-4,6,10,12,16,18,22,24-八醇 (CAS 112247-07-1) 的化学品安全技术说明书 (SDS),包括危险性、急救措施、储存与操作要求等信息。用户可免费下载 SDS 文件用于实验室或工业参考。

产品概述

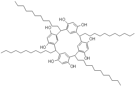
结构式 CAS# 112247-07-1, 2,8,14,20-四十一烷基五环[19.3.1.1<sup>3,7</sup>.1<sup>9,13</sup>.1<sup>15,19</sup>]二十八碳-1(25),3(28),4,6,9(27),10,12,15(26),16,18,21,23-十二烯-4,6,10,12,16,18,22,24-八醇
产品名称 2,8,14,20-四十一烷基五环[19.3.1.13,7.19,13.115,19]二十八碳-1(25),3(28),4,6,9(27),10,12,15(26),16,18,21,23-十二烯-4,6,10,12,16,18,22,24-八醇
CAS 登录号 112247-07-1
分子式 C72H112O8
分子量 1105.65
2,8,14,20-四十一烷基五环[19.3.1.13,7.19,13.115,19]二十八碳-1(25),3(28),4,6,9(27),10,12,15(26),16,18,21,23-十二烯-4,6,10,12,16,18,22,24-八醇的详细资料
 
资料来源 SDS 样本
TCI
www.spectrumchemical.com/MSDS/TCI-U0069.pdf
浏览或下载
Sigma-Aldrich
www.sigmaaldrich.com/catalog/Lookup.do?N5=All&N3=mode+matchpartialmax&N1=S_ID&ST=RS&N25=0&F=PR&D7=0&N4=112247-07-1
浏览或下载

免责声明

本页所列之化学品安全技术说明书样本系 chemBlink 公司搜集的互联网公开信息,仅用于指导化学品安全技术说明书的编辑与制作。chemBlink 竭诚提供可靠信息,然而不承诺其完备与准确。 阅读全文...



常见问题 (FAQ)
什么是 SDS?   如何下载 SDS?   SDS 是否免费?   SDS 和 MSDS 有什么区别?



相关化学品安全技术说明书
(R)-叔亮氨醇   (S)-叔亮氨醇   2,4-二甲基-1-...   (+)-二异松蒎基氯...   1-甲基胞嘧啶   5-(2-氧代六氢-...   2-[4-(苯基甲基...   2-氨基-4-溴苯甲...   乙二醇单己基醚   4-乙酰吡啶