全球化学品在线数据库

S-[2,3-二[(1-氧代十六烷基)氧基]丙基]-N-(1-氧代十六烷基)-L-半胱氨酰基-L-丝氨酰基-L-赖氨酰基-L-赖氨酰基-L-赖氨酰基-L-赖氨酸 化学品安全技术说明书 (CAS 112208-00-1)

本页面提供 S-[2,3-二[(1-氧代十六烷基)氧基]丙基]-N-(1-氧代十六烷基)-L-半胱氨酰基-L-丝氨酰基-L-赖氨酰基-L-赖氨酰基-L-赖氨酰基-L-赖氨酸 (CAS 112208-00-1) 的化学品安全技术说明书 (SDS),包括危险性、急救措施、储存与操作要求等信息。用户可免费下载 SDS 文件用于实验室或工业参考。

产品概述

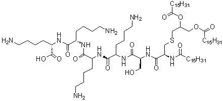
结构式 CAS# 112208-00-1, S-[2,3-二[(1-氧代十六烷基)氧基]丙基]-N-(1-氧代十六烷基)-L-半胱氨酰基-L-丝氨酰基-L-赖氨酰基-L-赖氨酰基-L-赖氨酰基-L-赖氨酸
产品名称 S-[2,3-二[(1-氧代十六烷基)氧基]丙基]-N-(1-氧代十六烷基)-L-半胱氨酰基-L-丝氨酰基-L-赖氨酰基-L-赖氨酰基-L-赖氨酰基-L-赖氨酸
CAS 登录号 112208-00-1
分子式 C81H156N10O13S
分子量 1510.23
S-[2,3-二[(1-氧代十六烷基)氧基]丙基]-N-(1-氧代十六烷基)-L-半胱氨酰基-L-丝氨酰基-L-赖氨酰基-L-赖氨酰基-L-赖氨酰基-L-赖氨酸的详细资料
 
资料来源 SDS 样本
Cayman
www.caymanchem.com/msdss/24126m.pdf
浏览或下载

免责声明

本页所列之化学品安全技术说明书样本系 chemBlink 公司搜集的互联网公开信息,仅用于指导化学品安全技术说明书的编辑与制作。chemBlink 竭诚提供可靠信息,然而不承诺其完备与准确。 阅读全文...



常见问题 (FAQ)
什么是 SDS?   如何下载 SDS?   SDS 是否免费?   SDS 和 MSDS 有什么区别?



相关化学品安全技术说明书
3-碘-2-甲氧基吡...   3-羟甲基-2-甲氧...   (5-甲基-1,3-...   5-溴-2-氟苯硼酸   5-溴-2-氟苯酚   正壬胺   6-氯-4-甲基-2...   2,5-二氯-4-甲...   3,4-二溴-1H-...   (S)-2-异丙氨基...