| 产品概述 | |
| |
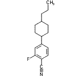
| 产品名称 | 2-氟-4-(4-丙基环己基)苯甲腈 |
| CAS 登录号 | 106021-42-5 |
| 分子式 | C16H20FN |
| 分子量 | 245.34 |
| 2-氟-4-(4-丙基环己基)苯甲腈的详细资料 | |
| 资料来源 | SDS 样本 |
| Alfa-Aesar www.alfa.com/en/content/msds/USA/H55606.pdf |
浏览或下载 |
|
免责声明 本页所列之化学品安全技术说明书样本系 chemBlink 公司搜集的互联网公开信息,仅用于指导化学品安全技术说明书的编辑与制作。chemBlink 竭诚提供可靠信息,然而不承诺其完备与准确。 阅读全文... |
|