全球化学品在线数据库

亮抑酶肽 化学品安全技术说明书 (CAS 103476-89-7)

本页面提供 亮抑酶肽 (CAS 103476-89-7) 的化学品安全技术说明书 (SDS),包括危险性、急救措施、储存与操作要求等信息。用户可免费下载 SDS 文件用于实验室或工业参考。

产品概述

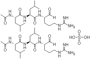
结构式 CAS# 103476-89-7, 亮抑酶肽; 亮肽素
产品名称 亮抑酶肽
CAS 登录号 103476-89-7
分子式 2(C20H38N6O4).H2SO4
分子量 951.19
亮抑酶肽的详细资料
 
资料来源 SDS 样本
Alfa-Aesar
www.alfa.com/en/content/msds/USA/J60797.pdf
浏览或下载
Sigma-Aldrich
www.sigmaaldrich.com/catalog/Lookup.do?N5=All&N3=mode+matchpartialmax&N1=S_ID&ST=RS&N25=0&F=PR&D7=0&N4=103476-89-7
浏览或下载
Acros-Organics
www.acros.com/DesktopModules/Acros_Search_Results/Acros_Search_Results.aspx?search_type=CAS&SearchString=103476-89-7
浏览或下载

免责声明

本页所列之化学品安全技术说明书样本系 chemBlink 公司搜集的互联网公开信息,仅用于指导化学品安全技术说明书的编辑与制作。chemBlink 竭诚提供可靠信息,然而不承诺其完备与准确。 阅读全文...



常见问题 (FAQ)
什么是 SDS?   如何下载 SDS?   SDS 是否免费?   SDS 和 MSDS 有什么区别?



相关化学品安全技术说明书
钇三(2-乙基己酸酯...   六氢-1H-氮杂卓-...   乙基3-(氯磺酰基)...   替泊沙林   D-肌醇1,4,5-...   (2-氧代-3-氮杂...   盐酸马普替林   Fmoc-N-甲基-...   Fmoc-N-甲基-...   Fmoc-N-甲基-...