Online Database of Chemicals from Around the World
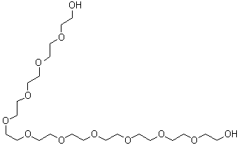
3,6,9,12,15,18,21,24,27,30-Decaoxadotriacontane-1,32-diol
[CAS 6809-70-7]
Identification| Name | 3,6,9,12,15,18,21,24,27,30-Decaoxadotriacontane-1,32-diol |
|---|
| Synonyms | Undecaethylene glycol |
|
| Molecular Structure |  |
| Molecular Formula | C22H46O12 |
| Molecular Weight | 502.59 |
| CAS Registry Number | 6809-70-7 |
| EC Number | 229-884-8 |
|
Properties
| Solubility | Very soluble (1000 g/L) (25 °C), Calc.* |
| Density | 1.116±0.06 g/cm3 (20 °C 760 Torr), Calc.* |
|
| * | Calculated using Advanced Chemistry Development (ACD/Labs) Software V11.02 (©1994-2016 ACD/Labs) |
|
Related Products
[(2R)-2-Decanoy... [(2R)-2-Decanoy... (R)-3-(Decanoyl... 1-(1-Decanoylpy... 1-(1-Decanoylpy... N-Decanoylsarco... (3aR)-6a-[(4R)-... 2-Decanyl Propi... Decaoleic Acid,... 3,6,9,12,15,18,... 2,5,8,11,14,17,... 3,6,9,12,15,18,... 3,8,15,20,27,32... 3,6,9,12,15,18,... 3,6,9,12,15,18,... 3,6,9,12,15,18,... 2,5,8,11,14,17,... Ige Decapeptide Decaphenylcyclo... Decaplanin