Online Database of Chemicals from Around the World

Hydroxypropyl cellulose SDS (CAS 9004-64-2)

This page provides the Safety Data Sheet (SDS) for Hydroxypropyl cellulose (CAS 9004-64-2), including information on hazards, first-aid measures, storage, handling requirements, and more. Users may download the SDS file free of charge for laboratory or industrial reference.

Product Info

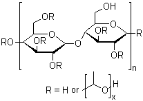
structure of CAS# 9004-64-2, Hydroxypropyl cellulose;Klucel; HPC
Product Name Hydroxypropyl cellulose
CAS Registry Number 9004-64-2
Molecular Weight ~10000
More information of Hydroxypropyl cellulose
 
Source SDS Document
Alfa-Aesar
www.alfa.com/en/content/msds/USA/43400.pdf
View / download
Sigma-Aldrich
www.sigmaaldrich.com/catalog/Lookup.do?N5=All&N3=mode+matchpartialmax&N1=S_ID&ST=RS&N25=0&F=PR&D7=0&N4=9004-64-2
View / download
TCI
www.spectrumchemical.com/MSDS/TCI-H0386.pdf
View / download

Disclaimer

The SDS samples above are collected from the Internet by chemBlink and displayed here for the tutorial purpose only. chemBlink LLC provides the information contained herein in good faith but makes no representation as to its comprehensiveness or accuracy. Read full context...



Frequently Asked Questions (FAQ)
What is an SDS?   How do I download an SDS?   Are SDSs free?   What is the difference between SDS and MSDS?



More SDS files for chemicals
Dextran   Gymnema...   Ethyl cellulose   Hyaluronic acid   Hydroxyethyl...   Hydroxypropyl...   Iron-dextran   Methyl...   Nitrocellulose   Polymethylhydro...