| Product Info | |
| |
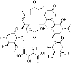
| Product Name | Tylosin tartrate |
| CAS Registry Number | 1405-54-5 |
| Molecular Formula | C46H77NO17.C4H6O6 |
| Molecular Weight | 1066.19 |
| More information of Tylosin tartrate | |
| Source | SDS Document |
| Alfa-Aesar www.alfa.com/en/content/msds/USA/J62633.pdf |
View / download |
| Sigma-Aldrich www.sigmaaldrich.com/catalog/Lookup.do?N5=All&N3=mode+matchpartialmax&N1=S_ID&ST=RS&N25=0&F=PR&D7=0&N4=1405-54-5 |
View / download |
|
Disclaimer The SDS samples above are collected from the Internet by chemBlink and displayed here for the tutorial purpose only. chemBlink LLC provides the information contained herein in good faith but makes no representation as to its comprehensiveness or accuracy. Read full context... |
|