Online Database of Chemicals from Around the World

Aluminum dihydrogen phosphate SDS (CAS 13530-50-2)

This page provides the Safety Data Sheet (SDS) for Aluminum dihydrogen phosphate (CAS 13530-50-2), including information on hazards, first-aid measures, storage, handling requirements, and more. Users may download the SDS file free of charge for laboratory or industrial reference.

Product Info

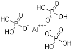
structure of CAS# 13530-50-2, Aluminum dihydrogen phosphate;Aluminium tris(dihydrogen phosphate)
Product Name Aluminum dihydrogen phosphate
CAS Registry Number 13530-50-2
Molecular Formula Al.(H2PO4)3
Molecular Weight 317.94
More information of Aluminum dihydrogen phosphate
 
Source SDS Document
Alfa-Aesar
www.alfa.com/en/content/msds/USA/42858.pdf
View / download
Sigma-Aldrich
www.sigmaaldrich.com/catalog/Lookup.do?N5=All&N3=mode+matchpartialmax&N1=S_ID&ST=RS&N25=0&F=PR&D7=0&N4=13530-50-2
View / download

Disclaimer

The SDS samples above are collected from the Internet by chemBlink and displayed here for the tutorial purpose only. chemBlink LLC provides the information contained herein in good faith but makes no representation as to its comprehensiveness or accuracy. Read full context...



Frequently Asked Questions (FAQ)
What is an SDS?   How do I download an SDS?   Are SDSs free?   What is the difference between SDS and MSDS?



More SDS files for chemicals
DBCO-acid   Dibenzocyclooct...   2,4-Dihydro-5-m...   N-Acetyl-L-farn...   N-Acetyl-S-[(2E...   3',5'-Difluorop...   Zinc Chromate   Cesium...   MEN 10376   N,O-Didesmethyl...